扫一扫关注微信公众号
2020-02-03 22:53
来源:本站
自1月28日北仑区慈善总会对外发起疫情防控专项募集开始,总会的定向捐款账户上就源源不断地收到广大爱心企业和爱心人士的捐款。据统计,截至2月3日17时,北仑区慈善总会累计接收社会各界防控疫情捐款1194.14万元,其中,网络平台共有936人次参与捐赠,金额为196224.97元。已拨付定向资金及购买相应防疫用品和设施支出610.92万元。
一、支出情况
资金使用情况:

物资发放情况:
计划使用(未使用)资金安排:

二、网银捐赠 2月3日 北仑高塘幼儿园捐赠5166元 宁波润姚机械有限公司捐赠10000元 赵亚波捐赠5000元 浙江企诺律师事务所捐赠4400元 2月2日 浙江东海长城石化股份有限公司捐赠200000元 2月1日 周天伦捐赠1000元 朱芳芳捐赠2000元 海天塑机集团有限公司捐赠5000000元 宁波盛骞贸易有限公司捐赠10000元 宁波市北仑欣玉模具制造有限公司捐赠20000元 谢爱贞捐赠10000元 宁波康喜乐嘉餐饮管理公司从基金划拨100000元 1月31日 周晓娜捐赠20000元 宁波新际混凝土有限公司捐赠2000000元 宁波市北仑润轴特种油品科技有限公司捐赠10000元 宁波国顺安全科技有限公司捐赠10000元 陆如辉捐赠5000元 宁波宏邦保安服务有限公司捐赠20000元 宁波扬腾兴业机械有限公司捐赠10000元 宁波新桥化工有限公司捐赠200000元 宁波龙利钜能新材料有限公司捐赠300000元 “芳华·筑梦”基金划拨50000元 1月30日 北京艾思科科技有限公司捐赠10000元 王利明捐赠1000元 宁波东方电缆股份有限公司捐赠2000000元 宁波怡人玩具有限公司从基金划拨200000元 1月29日 宁波市北仑区元启教育培训有限公司捐赠5000元 吴安宁捐赠2820元 楼燕明捐赠10000元 周天伦捐赠5000元 宁波晨星国际旅行社有限公司5000元 1月28日 严可健捐赠6800元 北仑区领尚幼儿园捐赠9200元 宁波菲仕技术股份有限公司捐赠300000元 北仑农商银行从阳光公益基金划拨1000000元 1月27日 北仑民建从同心·思源慈善基金划拨200000元 (捐赠资金以实际到位为准)
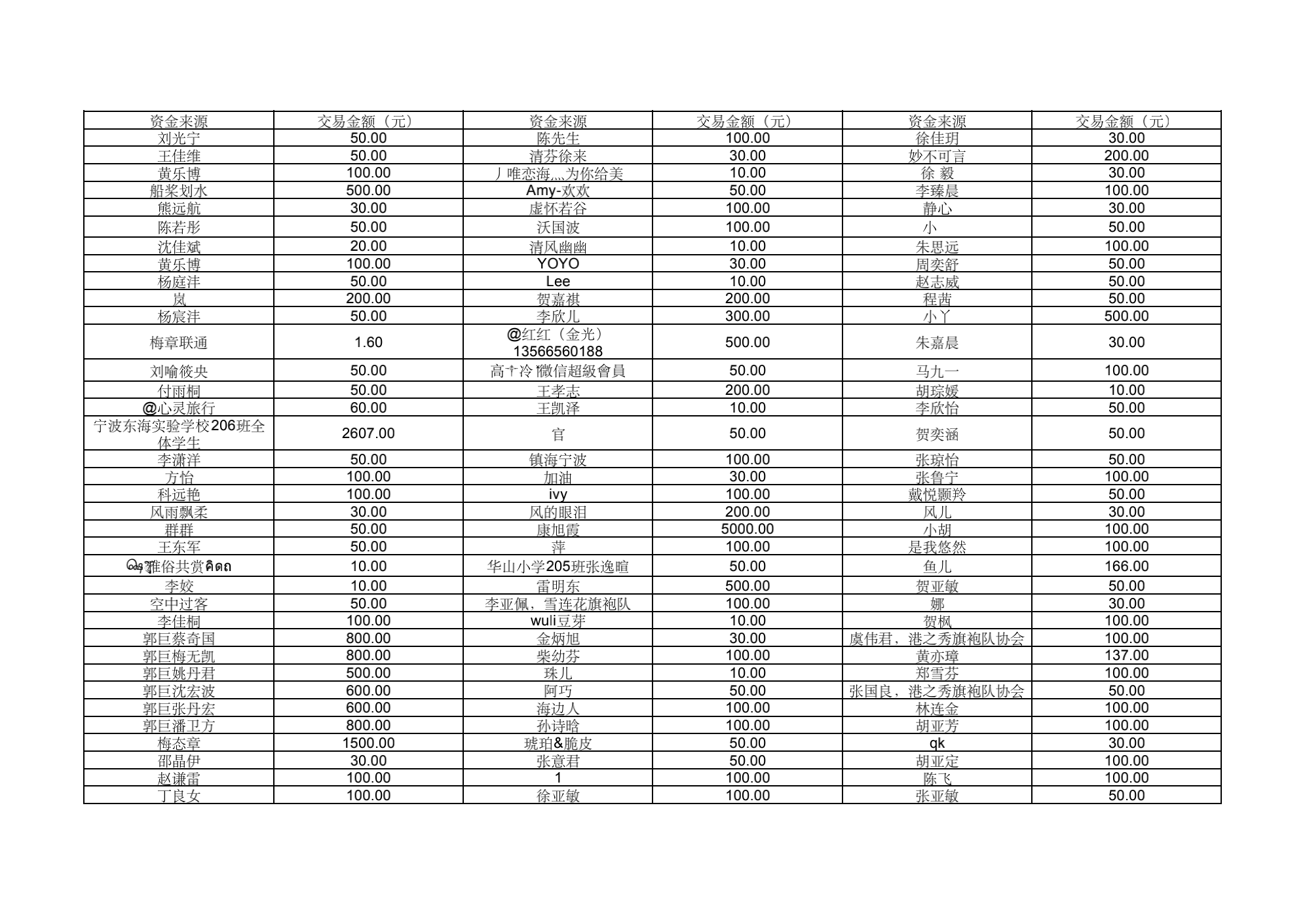
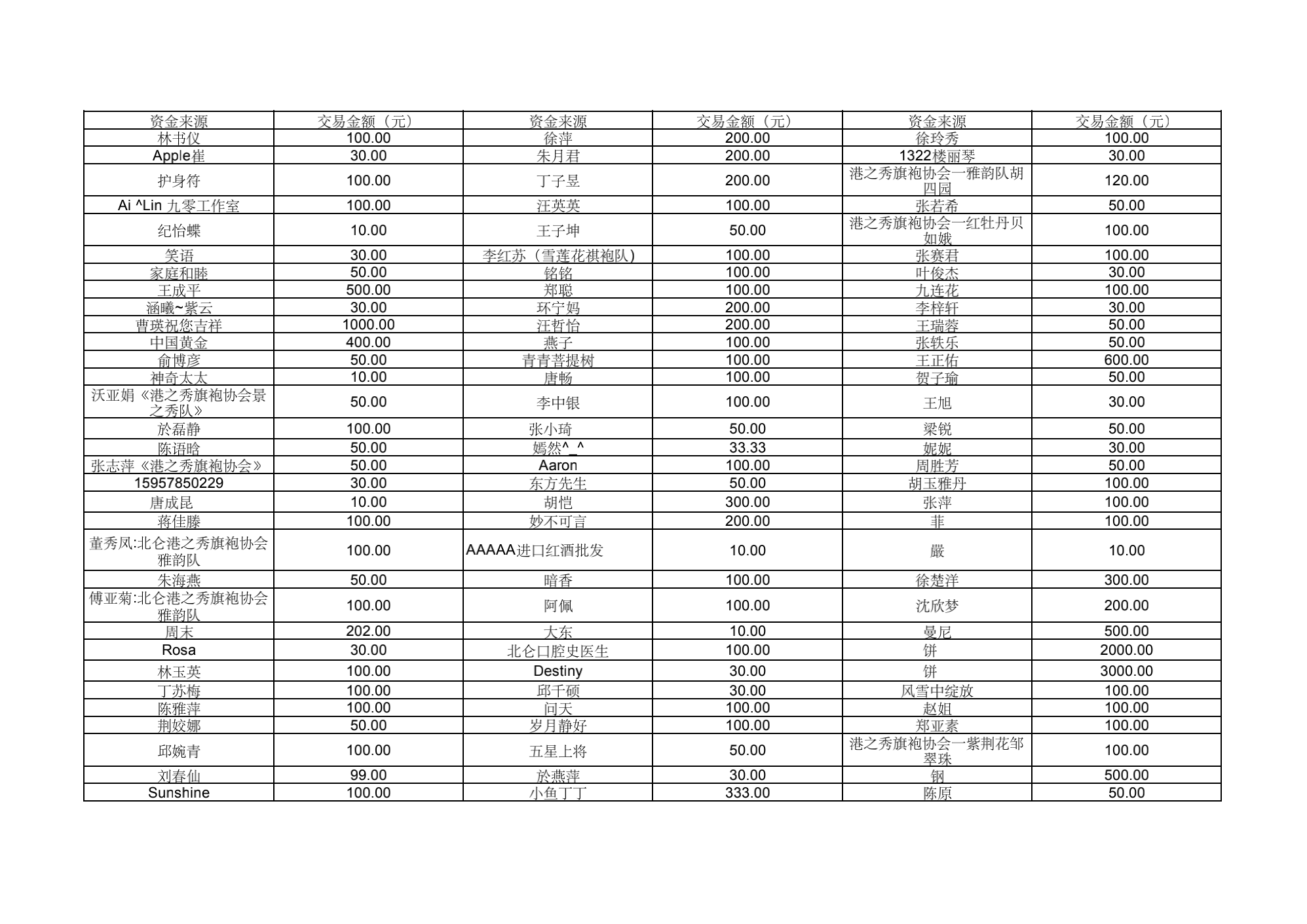
三、网络平台捐赠









(点击图片查看捐赠名单)
为了让社会公众及时了解捐赠及支出情况,北仑区慈善总会在《北仑新区时刊》和北仑慈善微信公众平台上发布相关公告,市民如有疑问请拨打捐赠热线:15888077021,15957456221。